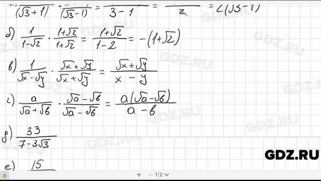
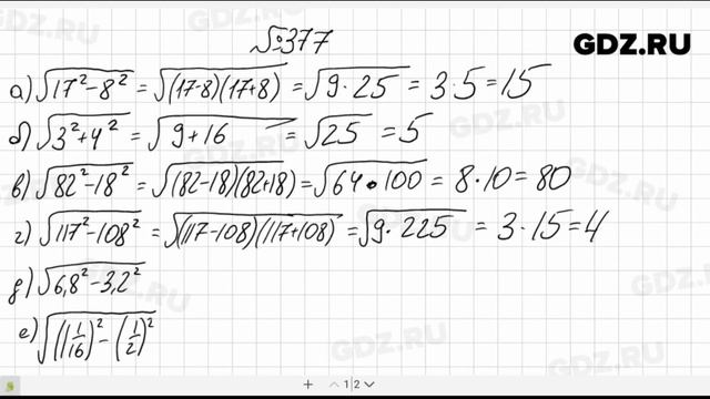
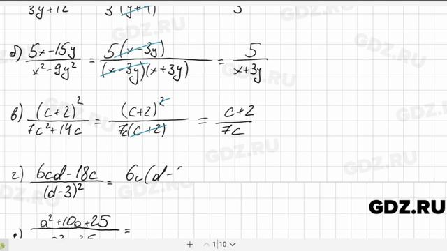
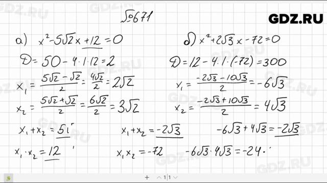
792 макарычев 8
Проволока для полуавтомата 0.8 отзывы
Конструирование тема человек старшая группа
Торт 64 года
Сайт блади мышки
Алайт моушен 5.0 249.1002172
Youtube хотят заблокировать
Почечная колика ношпа
Где можно найти питомцев
Множество мандельброта формула
27 апреля 24 года выходной день
Планеты гиганты как их
Амур в забайкальском крае
Стихотворение сиди дома
792 макарычев 8 114 фото












































































































