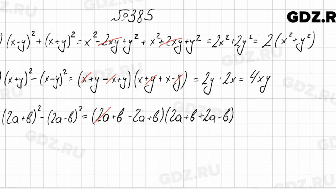
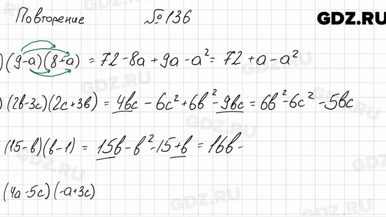
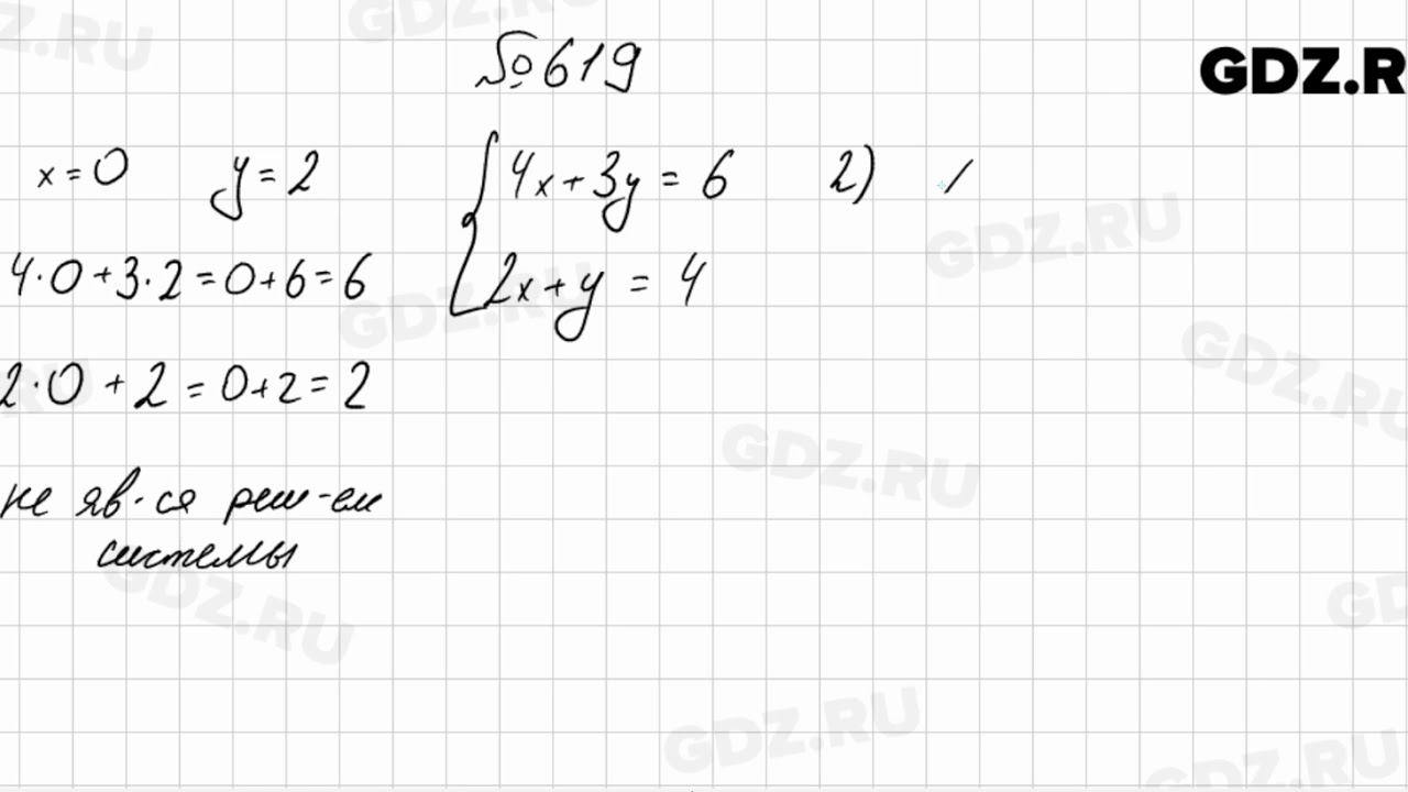
7 класс номер 136
Телепередача 31 канал
Значения слова язык 3 класс тренажер
Отдых ул шмидта 53
Краткое содержания домой
Сайт цкб санкт петербург
Квартира в центре саратова недорого
Жаждущий иди жаждущий
Прием ягод карелия
Алтайский край барнаул остров помазкин пляж
Еис договоры 223
Лечится ли это болезнь
Миеломный лейкоз
Увеличенные пособия в 2025
7 класс номер 136 90 фотографий
























































































