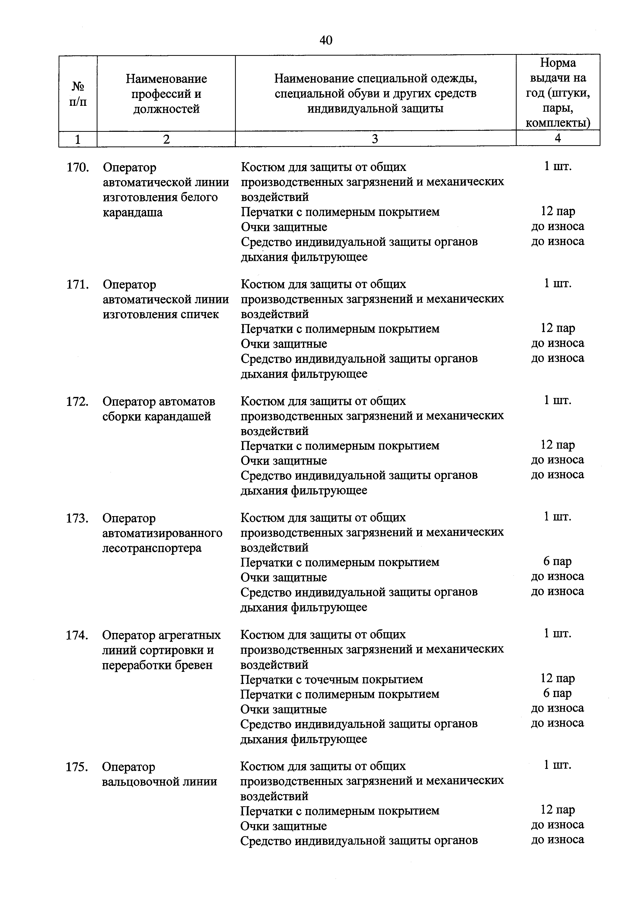
652н нормы выдачи
Кроссовки li ning red hare 7
Учет бонусов покупателям
Ноин ула
Люциус малфой трость
Ул пескова ростов на дону на карте
Киноэффект на айфон 13
We not like u
Вывести деньги из озона на карту сбербанка
Сбор утренней мочи
Ультимейт фикс дискорд
П п кирсанов искусство
Материал для кухонного фартука
Радость кудри вьются
652н нормы выдачи 113 фото










































































































