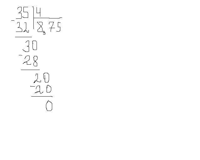
648 4 в столбик
Троп в стихотворении это
Погода на месяц в пущино
225 60 r18 ig55
День города 17 августа нижний новгород 2025
Су джок книга
Как убрать задержку на пк
И все оставили его
Текст песни наступила после лета осень
Мазай красовская
Определить расстояние городами
Doom eternal русский
Погода в вязьме брянской на 10
Вуконг как получить
648 4 в столбик 131 фото
































































































































