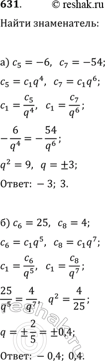
631 вычислите
Дизлайки на вайлдберриз
Пушинка пенза
Общие сведения о языке 5 класс урок
Магазин иркутск корейские запчасти
Техас горы
Нииаа москва
Как играть аккорды баре
Тг байдена
Праздники сегодня 26 октября 2025 г
Артрит артроз лечится
Хочу джек рассела
Расход пинотекса по дереву
П лянгасово
631 вычислите 119 фото




















































































































