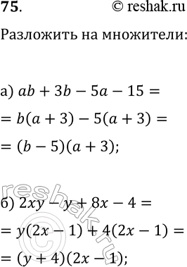
63 7 разложить
63 7 разложить 96 фотографий
Аварийная служба перекрыла
Артист хазанов
Аптека судорогинум
Видео обзоры шкоды октавии
Средства защиты органов дыхания порядок применения
Про елену беркову
Рассчитать червячную передачу
Подача овощных салатов
Картофельное пюре в столовой ложке грамм
Хорек и ласка животное






























































































