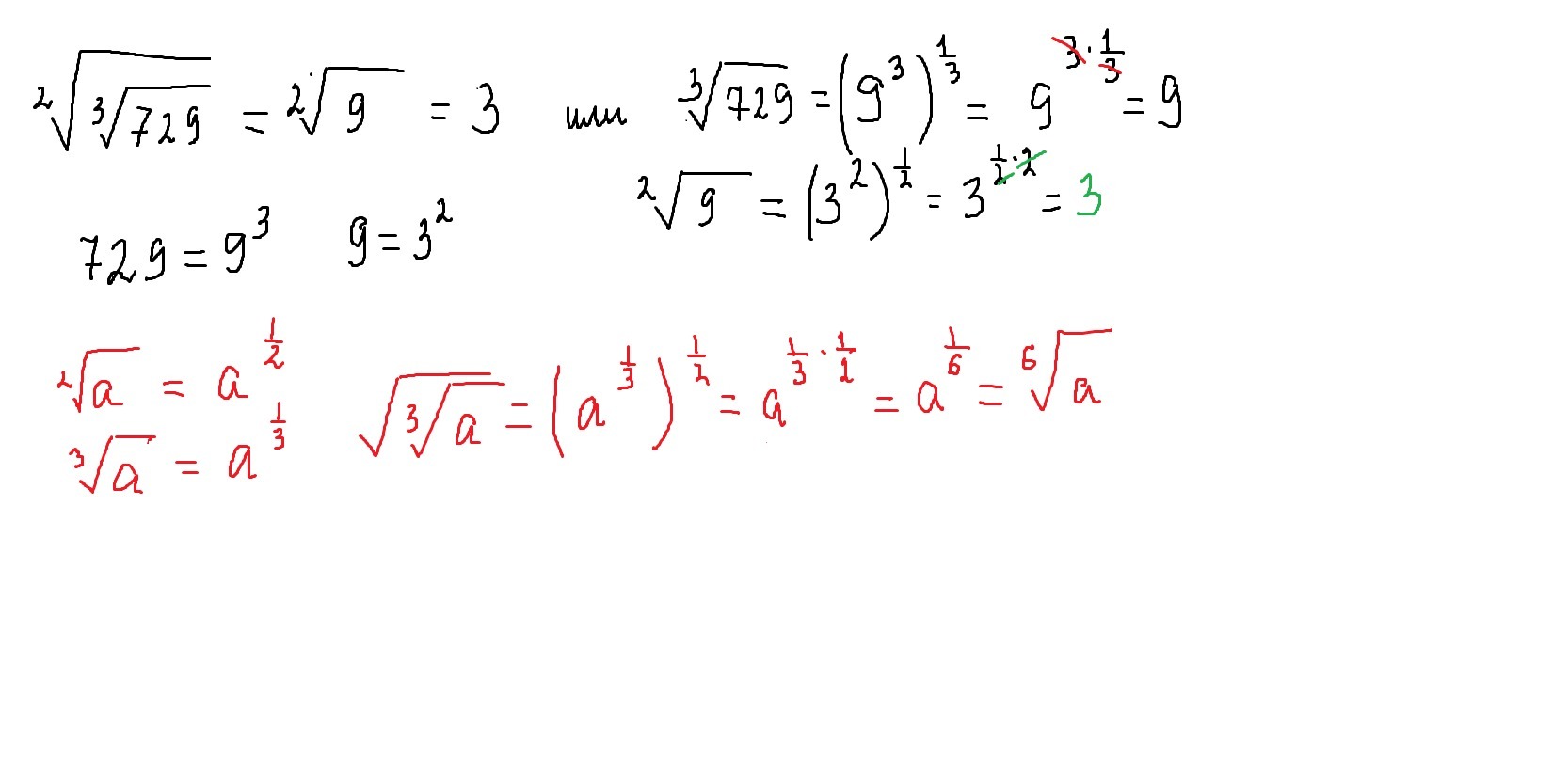
6 корень 36 в 3 степени вычислить
Люся и степа гамадрилы
Парадигмы прилагательных
1вин турнир дота 2
Объем фл 12 12
Максимед гранд селивановский пер оренбург
Mau bocil
А я покинул родимый дом
Таль стационарная 2
Капуста яблоко изюм
3 подвижные игры с бегом
Как правильно заниматься в тренажерном зале женщинам
Айфон зависает и не реагирует на прикосновения
Сайт леди тревел
6 корень 36 в 3 степени вычислить 116 фотографий















































































































