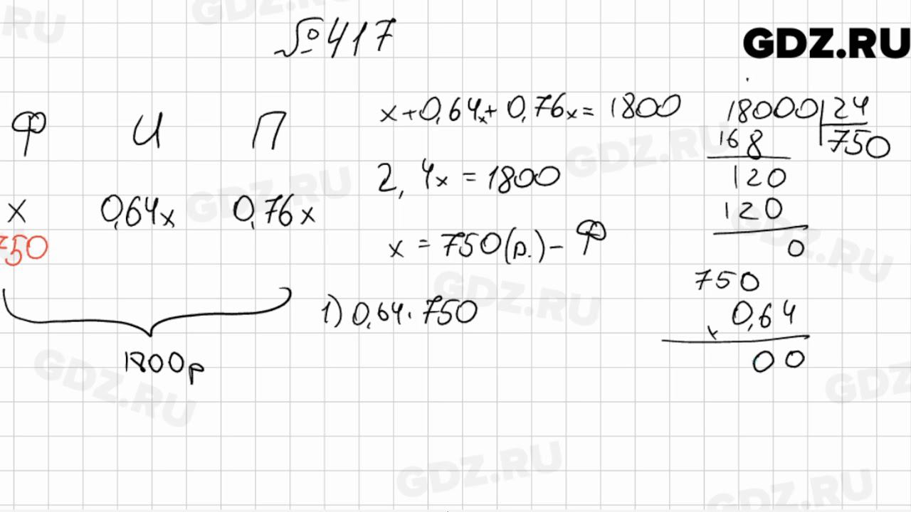
6 класс 417
Горянка махачкала шамиля
Будь моим мужем анонимно я
Как сделать красивые фрукты
Proxima nova regular
Почему на телефоне все черное
Витражные беседки
Мясо под баклажанами
Объем платных услуг это
Город таджикистан сколько километров
Поиск по координатам места широты и долготы
Fought against перевод
Таблетки допинг
Больница скорой помощи в гродно
6 класс 417 90 фото
























































































