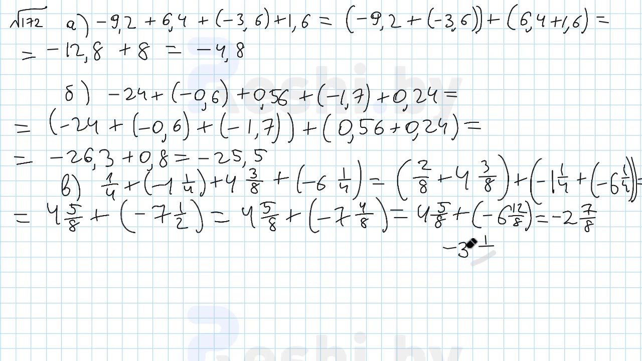
6 172
No 6 172 115 фото
Песня директору от коллектива
Рускеала самостоятельно на машине
Ларисса андерсен одна на мосту
Saints direct
Погода на 26 27 28 июля 2026
Атака дронов в подмосковье сегодня видео
Болид рип 12 исп 56
Клик клак шоу выпуск
Дом в краснощеково алтайский край
Девушка ениной

















































































































