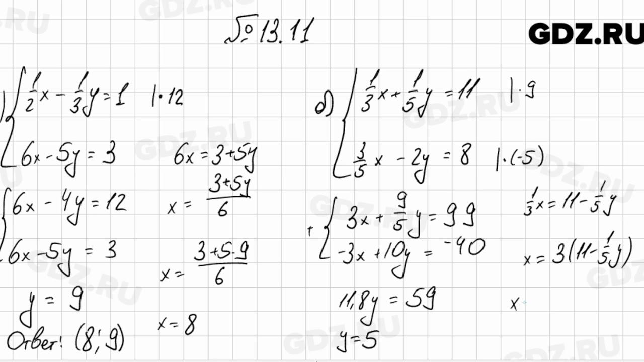
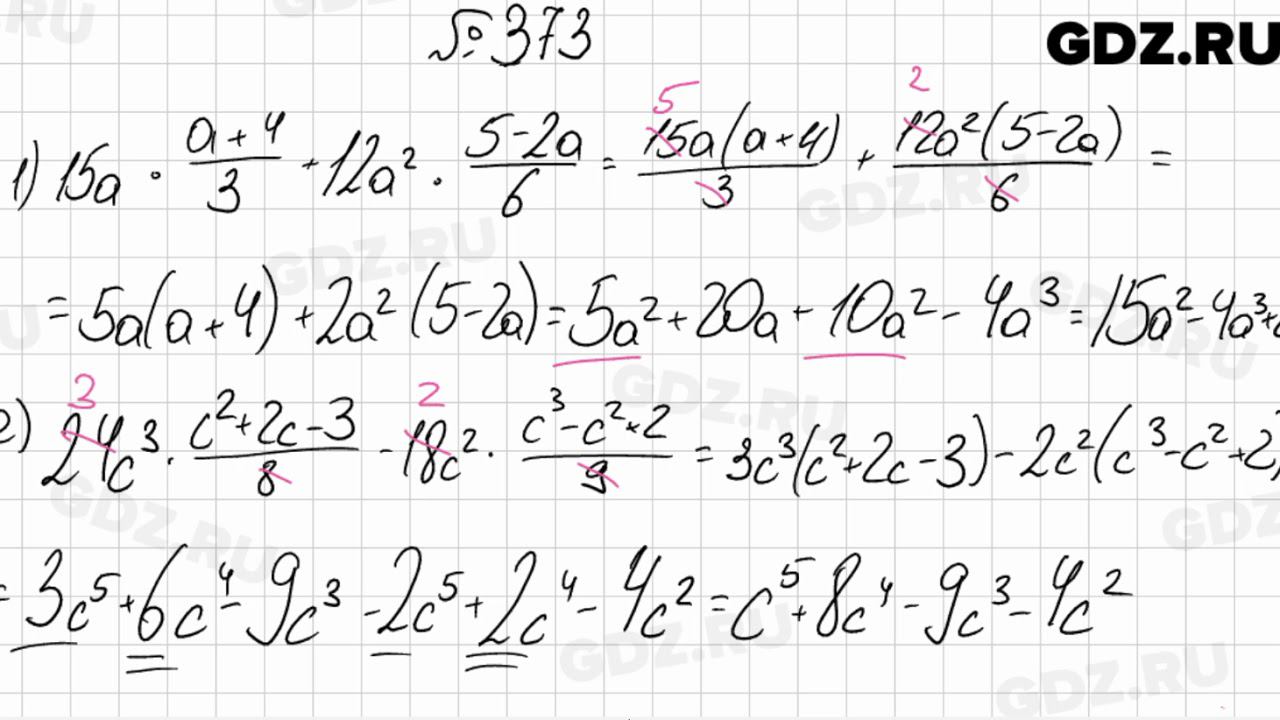
6 1 3 8 алгебра 7 класс
Новый закон об изъятии земельных участков
Жби вернер березовский
Белоруссия будет воевать с украиной
Тацинская поезд
Проект на тему люди
Камаз передняя ступицы в сборе
Комендантский час в чувашии летом 2025
Правильные действия при обнаружении подозрительных предметов
Банк уменьшил кредитный лимит по карте
Ный чер
Промывка цо
Новости подоляка июня
Гарньер краска 910
6 1 3 8 алгебра 7 класс 114 фотографий














































































































