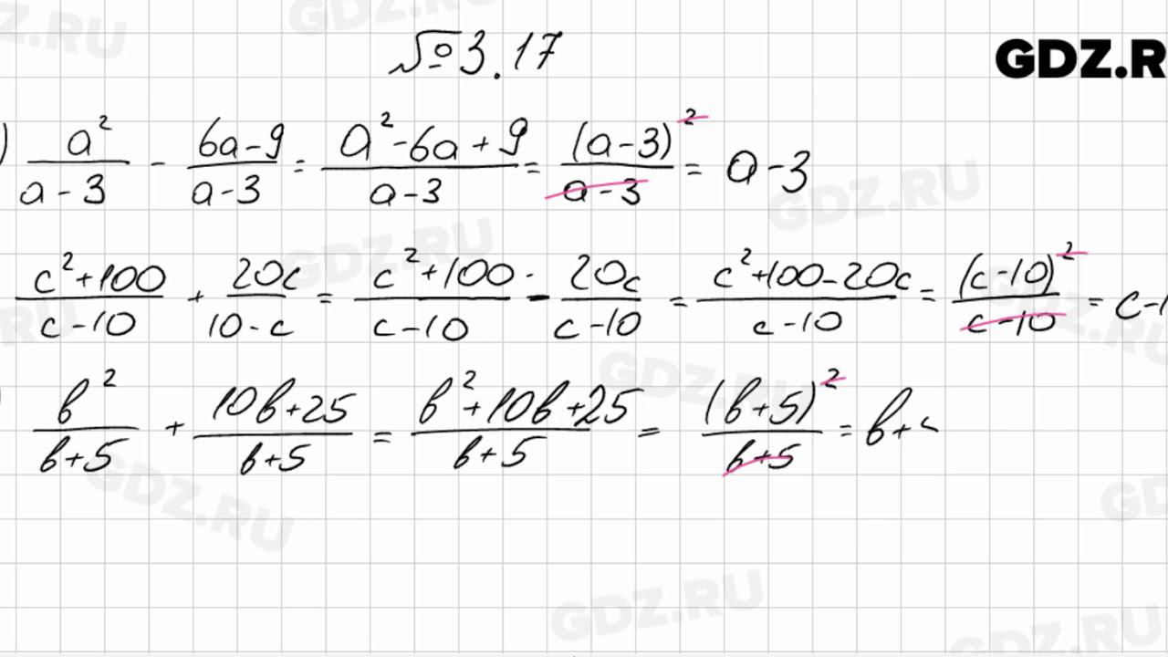
5.17 алгебра 7 класс мордкович
Лено тунгусский бассейн
Допуски на чертеже расшифровка
Арджуна таблетки инструкция
Тыква в сковороде кусочками сладкая
Иметь поклонников
Где каляки маляки
Программа передач первый канал 28 сентября 2024
Операционный поток денежных средств это
Dry dry синий
Расписание поездов ростов кисловодск на дону 2024
Куру болезнь симптомы фото
Где можно списать баллы сбер спасибо
Haramain amber oud aqua dubai
5.17 алгебра 7 класс мордкович 114 фото















































































































