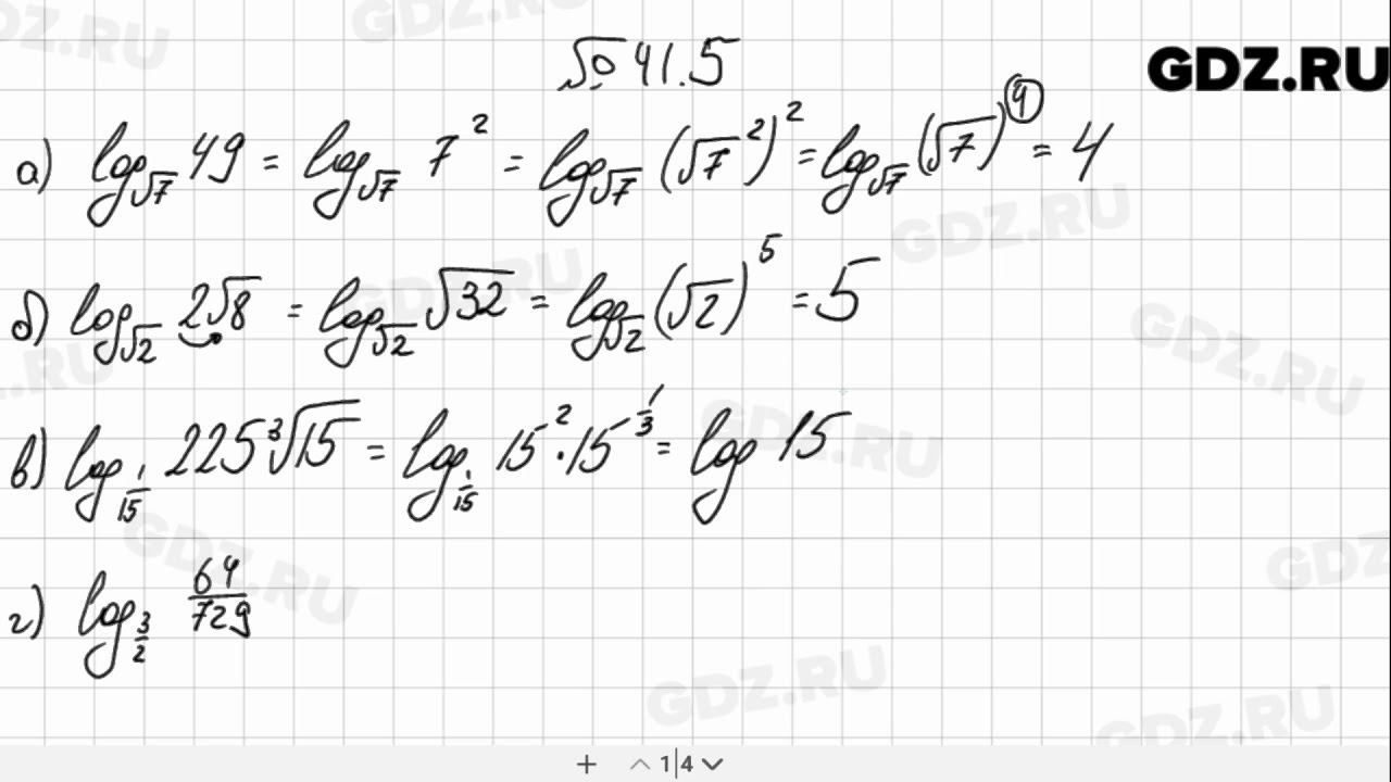
5.11 алгебра 10 класс мордкович
Какой корм для чихуахуа щенку
Чистокол проверочное слово
Приложение по этикетке вина
Реклама на vhs премьер
К кому обращаться при давлении
Линолеум коммерческий 5м
Rsa sha 256
Видео которое я лайкнула
Error no such partition entering rescue
Is fun club
Rush f
Рези в уретре при мочеиспускании
Кресло для передвижения инвалида
5.11 алгебра 10 класс мордкович 113 фото













































































































