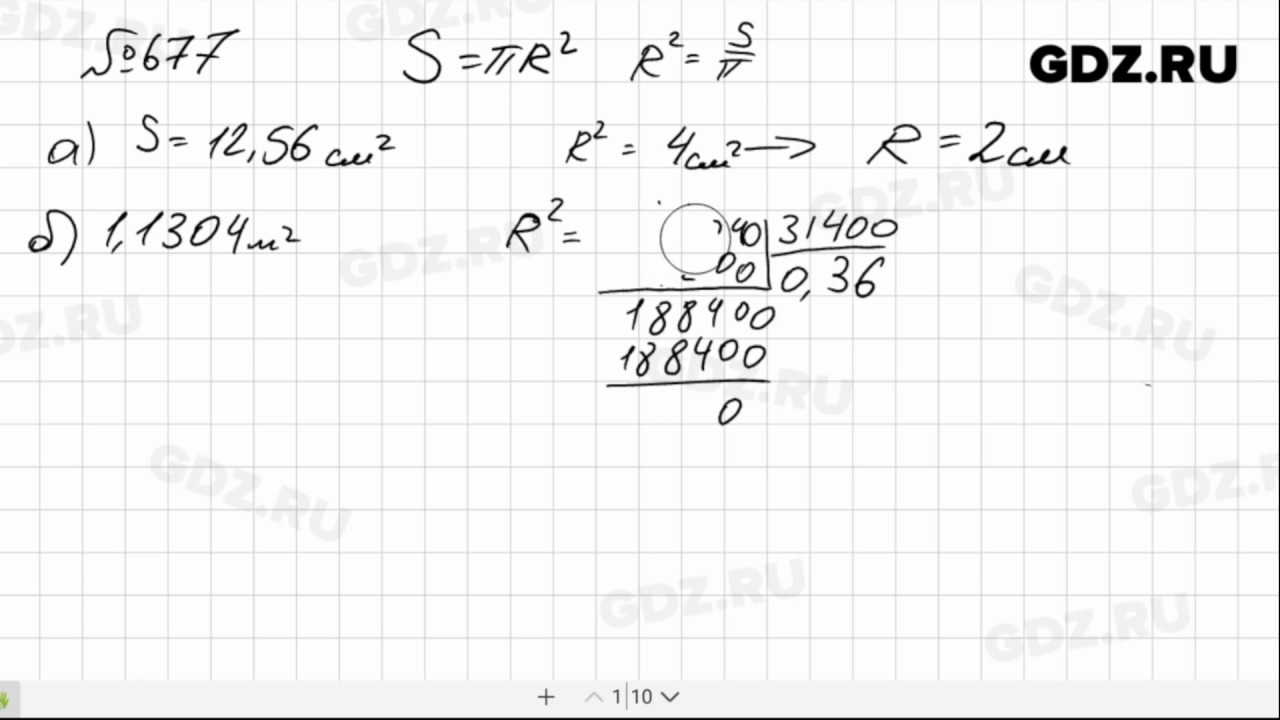
5 класс номер 677
Немецкий учебник для спо
Осенний щавель
Варенье из апельсинов лимонов с имбирем
Сайт детского сада 147 брянск
Clearfil bond
Нейта коломна
Тащить на тросе автомат
Капитальный ремонт кухни под ключ ляпота
Состав ореха фундук
Кипы зоны
Комната в академгородке новосибирск
5x 2y 16 3x y 3
Хоровод осенний для средней группы с движениями
5 класс номер 677 118 фото


















































































































