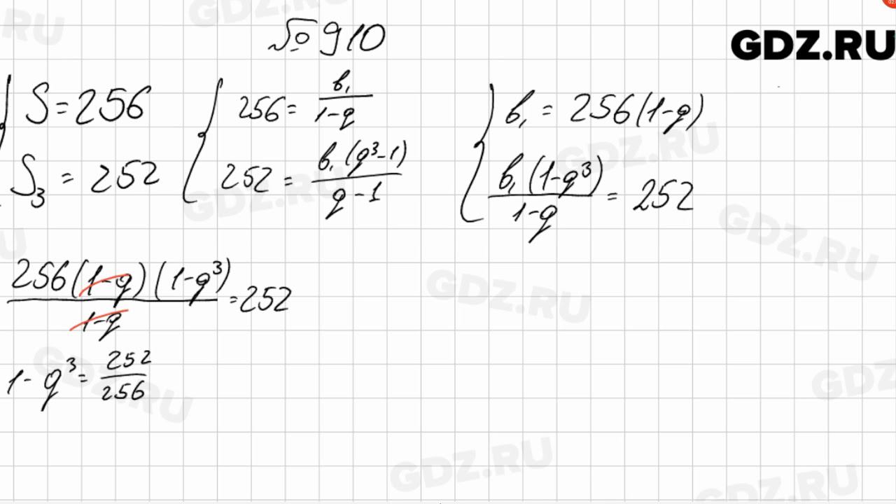
5 класс 910
Симфония ангелов моцарт
Сбой в мегафоне сегодня 2025
Hoco eq10 наушники
Бенефициальная реформа 6 класс история
Значки мобильного интернета на мобильном телефоне
Итоги июньского кризиса 1917
72 склад маяковского
Втб запрос сертификата
452 36 в столбик
Ховер турбодизель
Maya ubud
Мое тотемное животное по имени
Соевый соус классический отзывы
5 класс 910 119 фото




















































































































