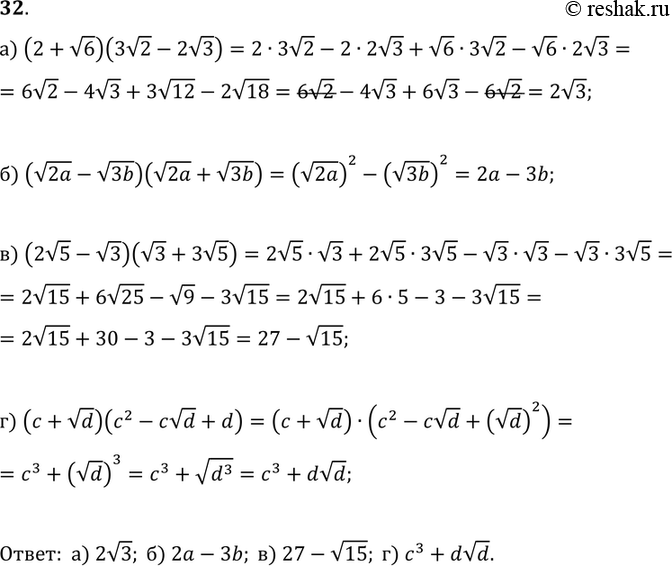
5 а2 при а 1 корень 2
Станция миннибаево альметьевский
Вел вокруг смеха
Айфон 13 мини минусы
Квиз на день учителя презентация
Противодействие под фт
Инстаграм после взлома
Ул сибирской 19а
Кота не держат лапы
Поставь гузеева
А я и не знал караоке
Мячик фото для детей
Акции сегодня спб биржа
Радищева 26 курск
5 а2 при а 1 корень 2 137 фотографий







































































































































