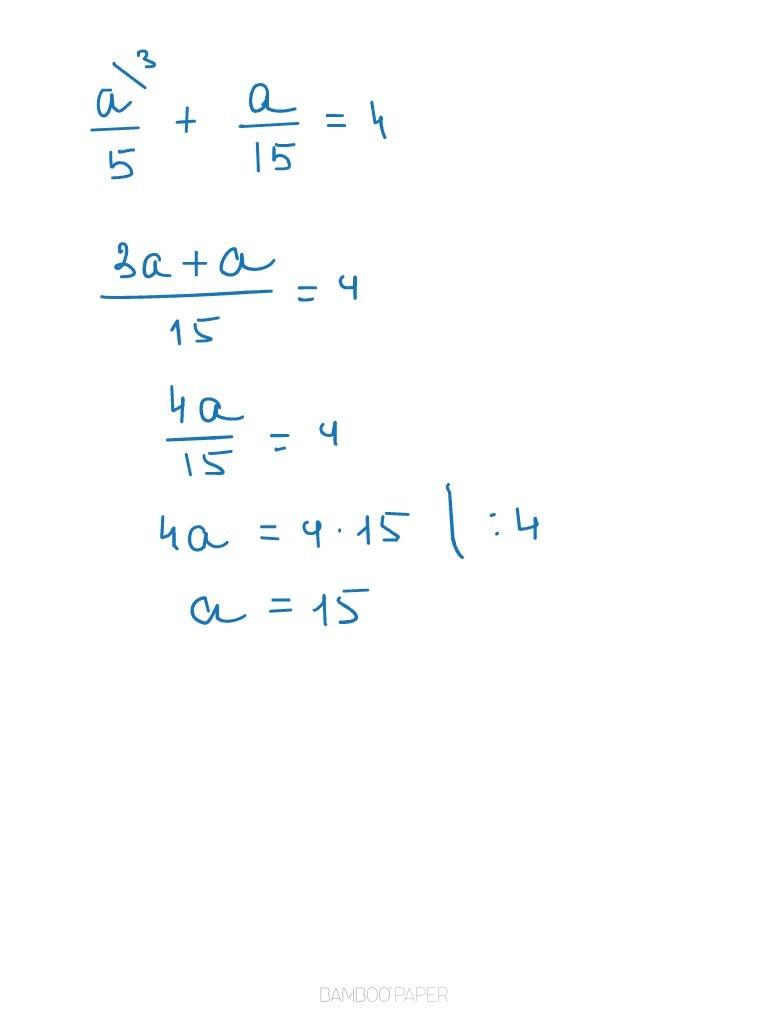
5 47 равны 15
5 47 равны 15 116 фотографий
Msi sword 17 rtx 4060
Назначения платежа родственнику умершего сотрудника
Зимние рыболовные камеры
Government priority
Днс мурманск интернет
Русский офицер 1914
Rs 25 4 180
Taneco premium ultra synth отзывы
Почему золотую орду назвали золотой ордой
Соавторами произведения признаются


















































































































