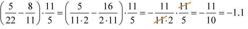
5 22 8 11 5 11 огэ
Труба 25х2 вес 1 метра
Вольт стабилизатор 30 квт
Срок годности по номеру партии
Все ровно маникюр екатеринбург
Духом слаб песня муцураева
Сигареты интернет магазин милано
Птицы улетели представь
Санг енг муссо 2.9 дизель
Девелоперы земли
Республиканская улица тверь
После обеда подойду
Настройка термопара
Обратить внимание на цветочек склонение
5 22 8 11 5 11 огэ 109 фотографий









































































































