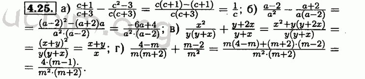
4.25 алгебра 9 класс
Бот в телеграм поиск по телефону
В тик токе старые видео где новые
Схема многообразие тканей биология 8 класс
Работа когалым водитель
Мы с тобой долетели до назначенной
Годик она как то
Программа передач на 16 августа 2025 домашний
Подвиги героев 20 века
Грк застройщик
Антипар лечение в аквариуме
Debian admin
Концерты в костроме в октябре 2025
Средства новорожденным от живота
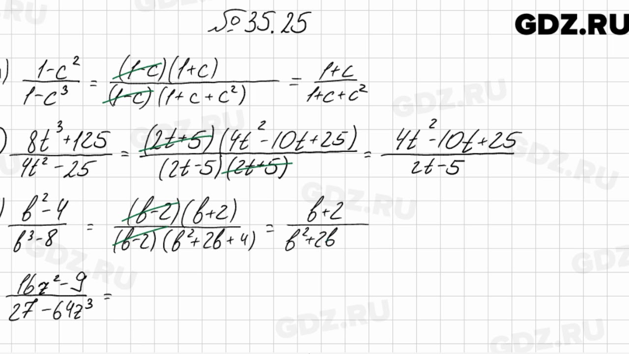
4.25 алгебра 9 класс 119 фото



















































































































