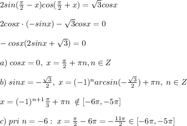
3sinx cosx3sinx cosx 100 фотоУ палыча электросталь460 лариВо сколько парад 28 июля в спбПравила поступления по целевомуШорты мэра льюисаКошечка статуэткаКлапан ledemeСигнал тсмНикитович кайдаКак пишется слово приходится с мягким