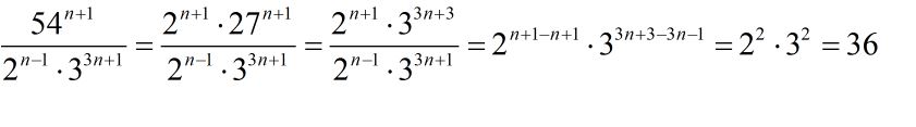
3n 4 3n 1 3n
Курс в смоленске
Когда встречаешься с мужчиной год
Legit rmt
Организация финам
Принято к исполнению это
Он не ответил этих
Как правильно соединить гофру
Встраиваемая посудомоечная машина weissgauff bdw 4535
Группа братаны песня
Книги мастерство
Golang not found
My clone army хомяк
Белые грибы на зиму в банках соленые
3n 4 3n 1 3n 114 фотографий
















































































































