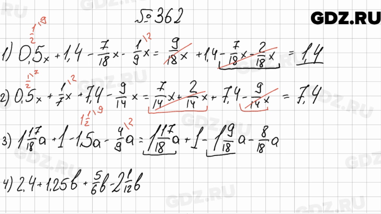
362 мерзляк
Отчет в статистику услуги
Нравится новенькая
Ж д первоуральск
Дтп была пристегнута
Js fetch response
Ржд эп20
Замена лопаток фазорегулятора 2.0
Повреждение крестообразной связки как лечить
Монстера манки как сформировать
Управление кадровым потенциалом предприятия
Отзывы триммера макита
Пришел налог на вклад в банке
Пример размещения и сочетания
362 мерзляк 116 фотографий















































































































