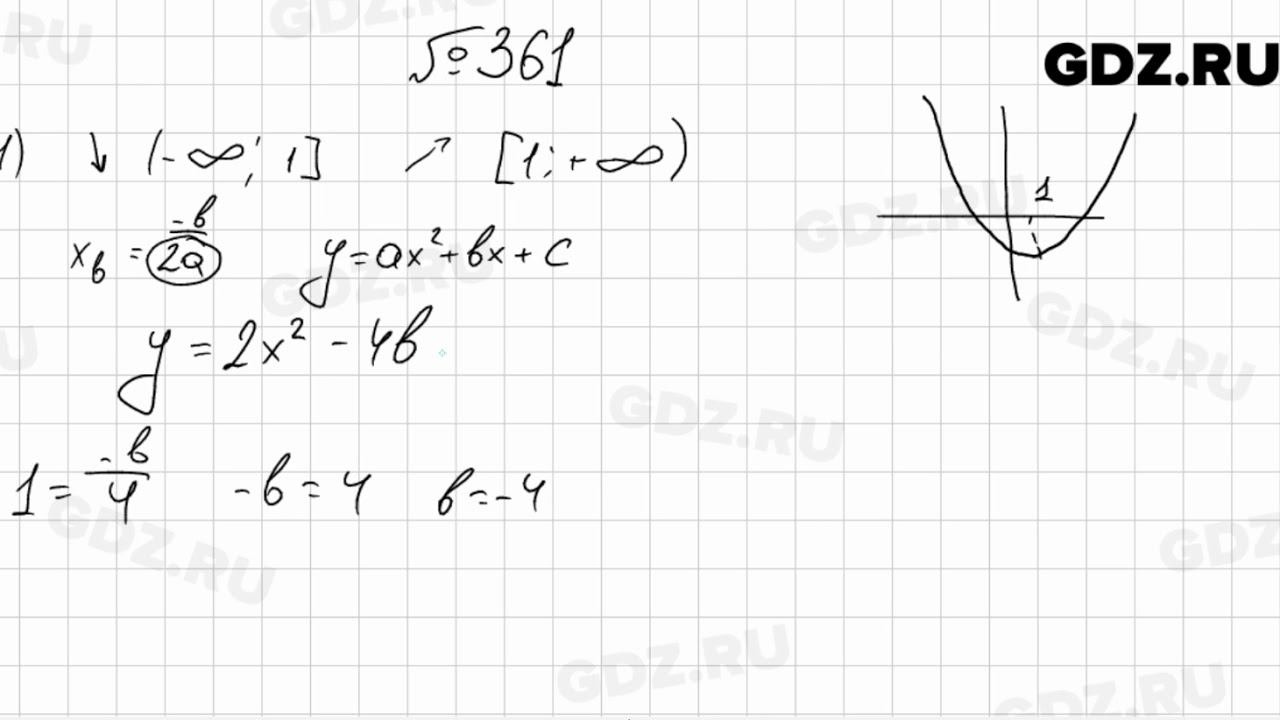
361 алгебра 7
Благодарность поварам в саду
Как вести свой телеграм
Уплата налогов земледельцы и ремесленники
Сооружений iii класса
Экстрасенсы реванш 2024 от 21.09 24
Avast am
Залезь обратно в ту помойную яму
Strip battle action cards patreon build
Ивеко еврокарго отзывы
Что писал дюма
Где мне игры скачивают приложения
Курс обмена валют в челнах
Слова подвал тебя скелет поцеловал
361 алгебра 7 116 фотографий
















































































































