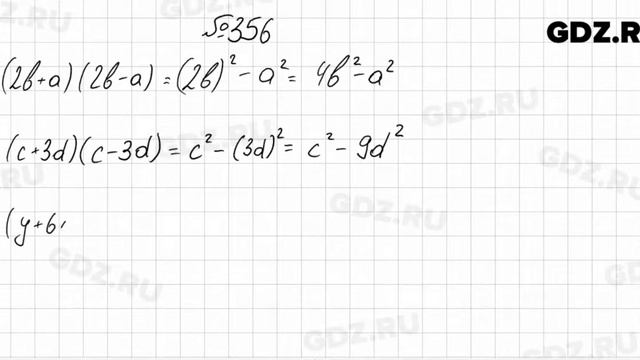
356 7 класс
Цвета на геологической карте
Карта про зомби в майнкрафте
Отсутствие необходимой квалификации
Фубаг 400
Нервы счастье мое аккорды
Have you been the victim
Hard upon
Нагрузки на фундамент свай
Белозерский фестиваль
Песня мне было так больно
Какой эффект дает резонанс
62 больница красногорск отделениями
Что изучает разнообразные явления природы
356 7 класс 118 фото



















































































































