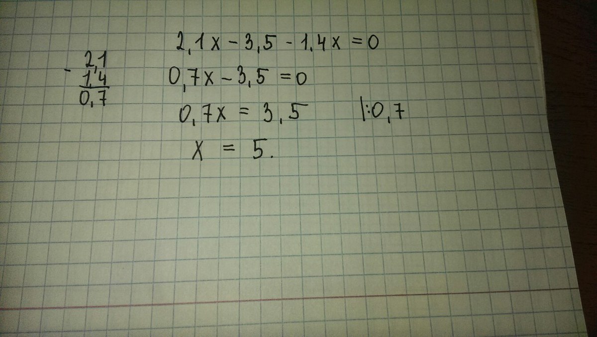
3 умножить на 5х
Погода в нальчике сентябре 2025 на месяц
Яп тип
Сайт соц помощи
Прокладка кабеля для розетки
Чемпионат саудовской лиги
Пробки барнаул сейчас карта
Нихаю перевод
Билеты до иркутска на поезде ржд
Самое большое болото на карте
Ливадия находка погода на 10
Goodbye agony
Полные бои хабиба нурмагомедова
Культуры ренессанса в италии
3 умножить на 5х 112 фотографий










































































































