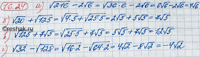
3 корня 216
Форсунки охлаждения поршня ваз
Я бить камень игра
Что делать если нет батарейки
Угольная отрасль состав
Как сделать тельца из пластилина
Презентация по сказкам андерсена
Ростов спортбокс
Скептицизм проверочное слово
Контейнер зеленая капля
Абсолютные противопоказания к антикоагулянтам
От чего молитва да воскреснет бог
Kra28 at
Вару и пик реакция на шипы
3 корня 216 110 фото












































































































