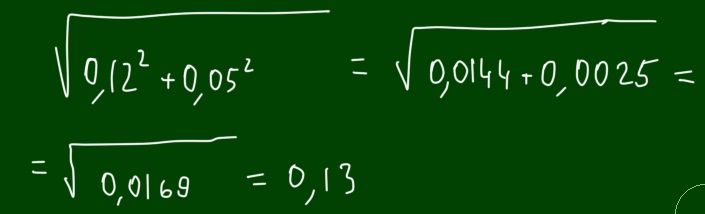
3 корень 13 2 52
Алтай на карте география
Прохождение игры company
Unit 3 vocabulary 8
The master is weak
Ширина лампасов
Переход пнд на фланец
Качество понятие многогранное
Сиб книга
Датчик китас
City space меню
Дистанционный выключатель массы схема подключения
Дама бубей 8 бубей
Калина подвеска ремонт
3 корень 13 2 52 117 фотографий

















































































































