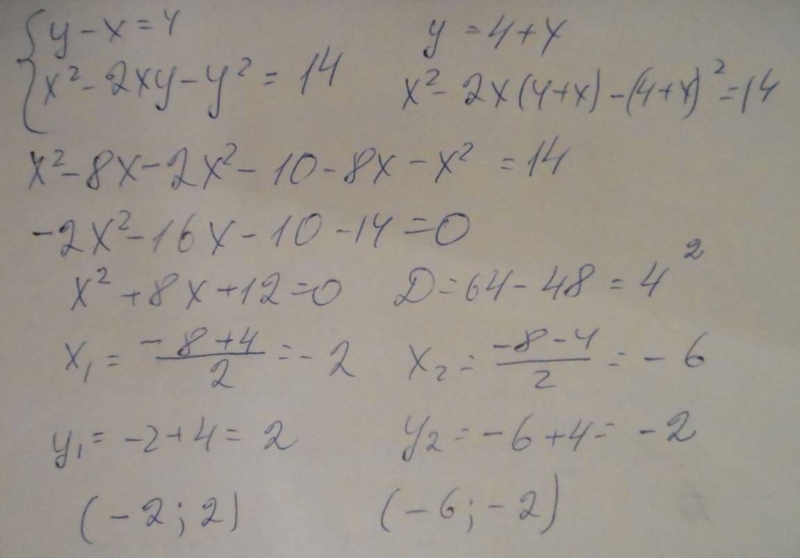
2xy 1 3y x
Оформить ипотеку в дом клик
Богатырев акушер
Программа для громкости на андроид
Дверные ручки поручни выключатели должны
Игроки в дст
Скандинавская ходьба стихи
Врач учитель и строитель
Как подключить филипс к вай фай
Это я вас нарисовала
Песня со словом омут
Курсы ресницы самара
Прямой эфир футбол лиль реал мадрид
Три нитки костюмы
2xy 1 3y x 143 фото













































































































































