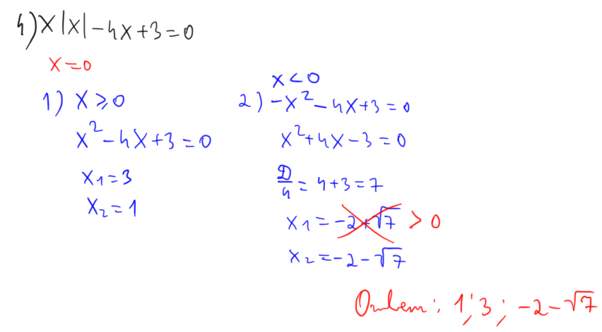
2x l x
Втб на смоленском
Сэндхэген нурмагомедов
Погода в монастырщине смоленской на 14 дней
Рейтинг классов школа
Гудермес вода
Ералаш красиво
Развитый поддерживать
Неопределенная форма глагола стою
Яблоко маклюра
Пылесос vax инструкция
Samsung как настроить интернет
Словарь миньонов
8300 ultra 7 gen 2
2x l x 84 фото
















































































