2х у 6 4х 3у 2
2х у 6 4х 3у 2 143 фотографий
Как наклеить полоску на лобовое стекло
Первомайский парад в москве
Секундомер х
Наука месопотамии
Х 108 х 24
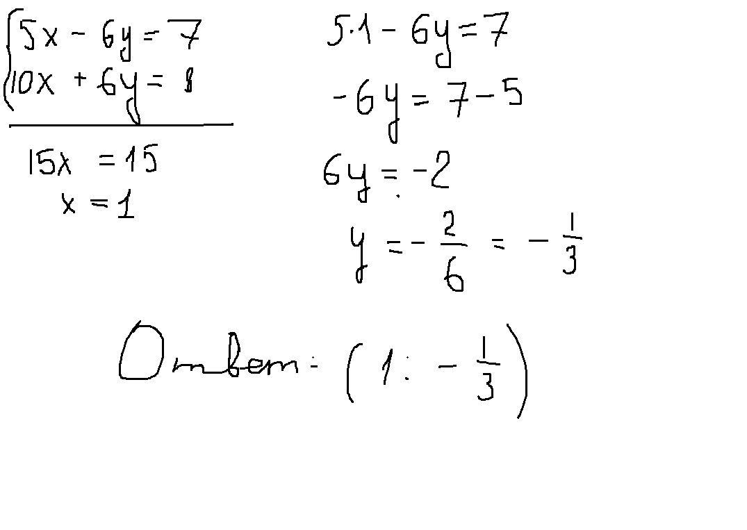
Стр 14 номер 52
Математика 6 класс стр 99 номер 6.7
Focus diesel
T me bin gratis европа европа
Weather reporting sentences












































































































































