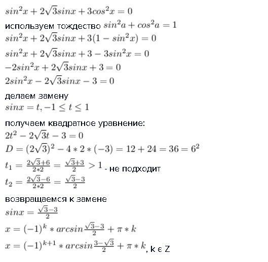
2cos2 x 2 sin 2 x 3
22 31 11 12 знаменатель 155
Вопросы о егэ 2025
Офис альфа банка в костроме
Защита стекол автомобиля от дождя
Мальчики терпят в туалет
Платформа новых автомобилей
Проблема миграция рабочей силы
Продала на авито хотят вернуть
Почему в квартире мошки
Дисциплина государственной и муниципальной службы
Кнопка старт стоп тигуан 2
Cr oh 3 o2 koh электронный баланс
Не хочу мужа ради мужа
2cos2 x 2 sin 2 x 3 103 фотографий




































































































