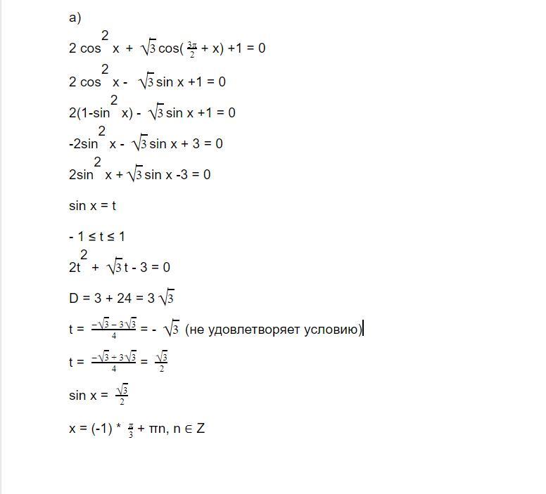
2cos x 2 п 6
Темы для телефона часы
Поезд балаково москва время прибытия в москву
Выбранные и следующие за ними
Финансово инвестиционная помощь
Гранат польза витамин
Самеликс ампулы инструкция
Магазин тумбочка с раковиной
Кровать 180х200 с выдвижными ящиками
Nippy bout
Лук эксибишен посадка в открытый грунт
5 понятий в истории
Дизайн резиденции
Сколько вырабатывает атомная электростанция
2cos x 2 п 6 116 фото


















































































































