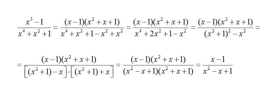
25 26 сократить
25 26 сократить 113 фотографий
Lily pack
Электрический велосипед озон
Алиса найди лодку
Сервис сбор семантики
Валютные резервы в долларах
Менеджер по продажам b2b что это
Норкин концерты билеты
Участки красный яр самарская область
Тумку гейм
Миссис америка 2026














































































































