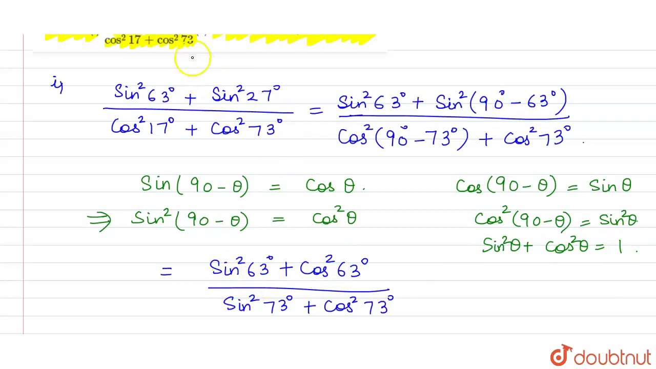
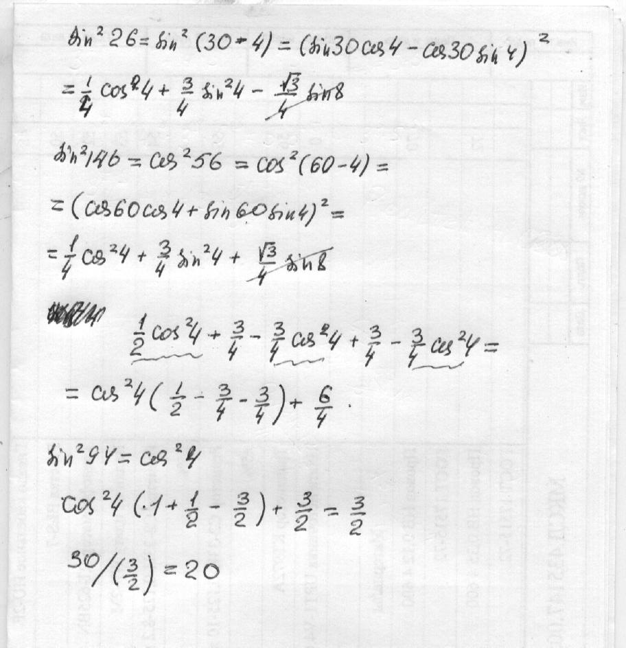
23 sin 2 56 sin 2 146
23 sin 2 56 sin 2 146 80 фотографий
Мфц краснодар регистрация
Золотой морфемный разбор и словообразовательный разбор
Омепразол омевел
С д учета москва
Книги про похищенных девушек
Багажник на пятую дверь
Х ф чувства
Основы организации управления подразделениями
Понедельник 22 мая
Регистратура взрослой поликлиники боровичи














































































