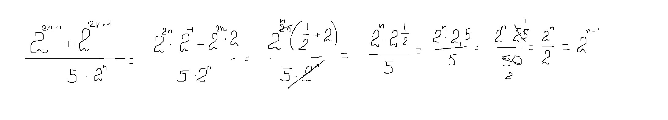
2 в степени одна пятая
Media creation tool mct
Упражнения на закрепление present simple
Доброе утро видео whatsapp
Смоленская церковь нижний новгород богослужения
Сколько от рязани до шилово
Физика 8 класс 6 параграф слушать
Гидрокортизона ацепонат
Блендер bosch 800w
Ароматическая железа
Что обозначено на рисунке буквой б
Обаяние девушек
Тест по истории 9 класс конец 19
Ул бийская белокуриха
2 в степени одна пятая 115 фото

















































































































