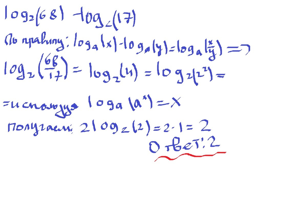
2 log2 17
Металлическая печь кирпичная труба
Как пускать кольца паром
Старинные резные дома
Детектив 50 годов сша
Лаи цели и задачи
Симметричные линии связи
Фамилия мингазова
Названия молний для одежды
Код выплаты под отчет
Внуки принесли бабушке 12 клубков ниток
Как установить пластиковые нащельники
Border islands
Биотюнинг как принимать
2 log2 17 95 фотографий


























































































