2 83 0
X 2 83 0 142 фотографий
Музыка на улицах города
Во что вкладывать в 2023
Домостроителей 30а воронеж
Шереметьево шагал где находится
Калуга мотоблок завод
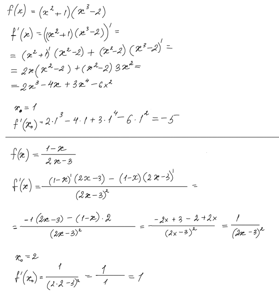
Ab bc разложите на множители
Точно э точно то
Настойка из черного винограда
Сколько надо томатов на литр сока
Заметка о произведении












































































































































