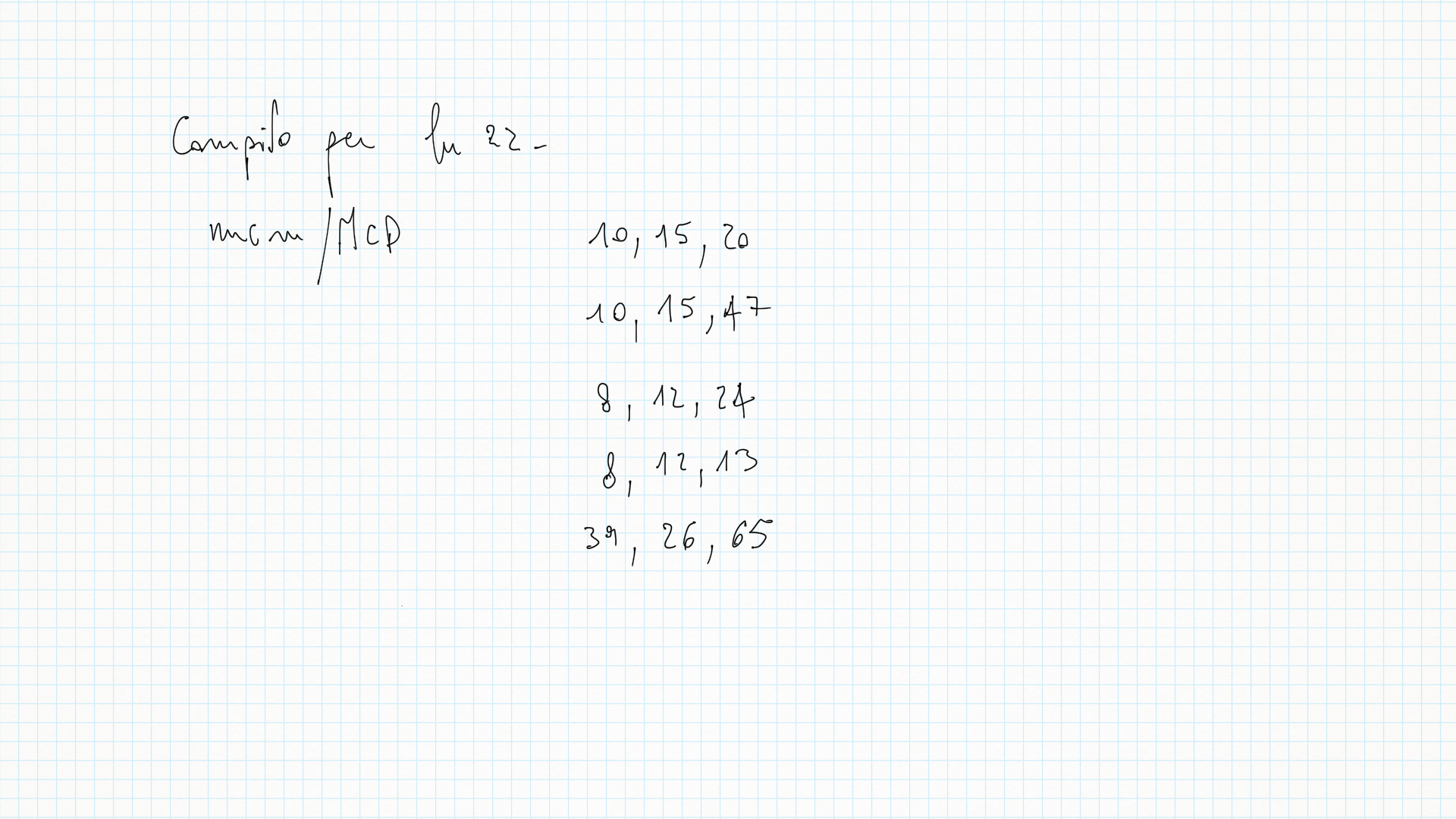
1D - Compito per Lu 22 Marzo
March 18, 2021
1D - Compito per Lu 22 Marzo
Report Page
Violence
Child Abuse
Copyright
Illegal Drugs
Personal Details
Other
Please submit your DMCA takedown request to
dmca@telegram.org