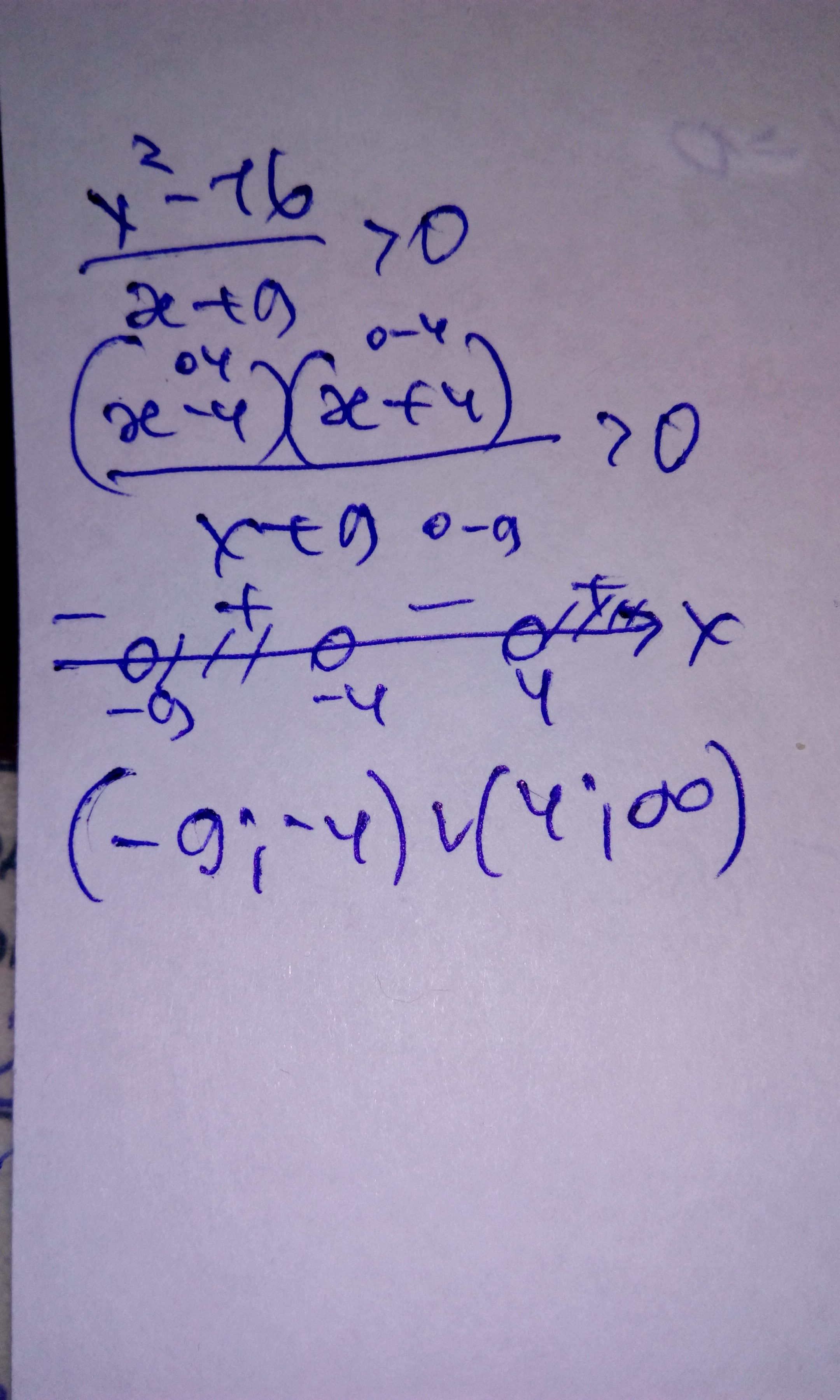
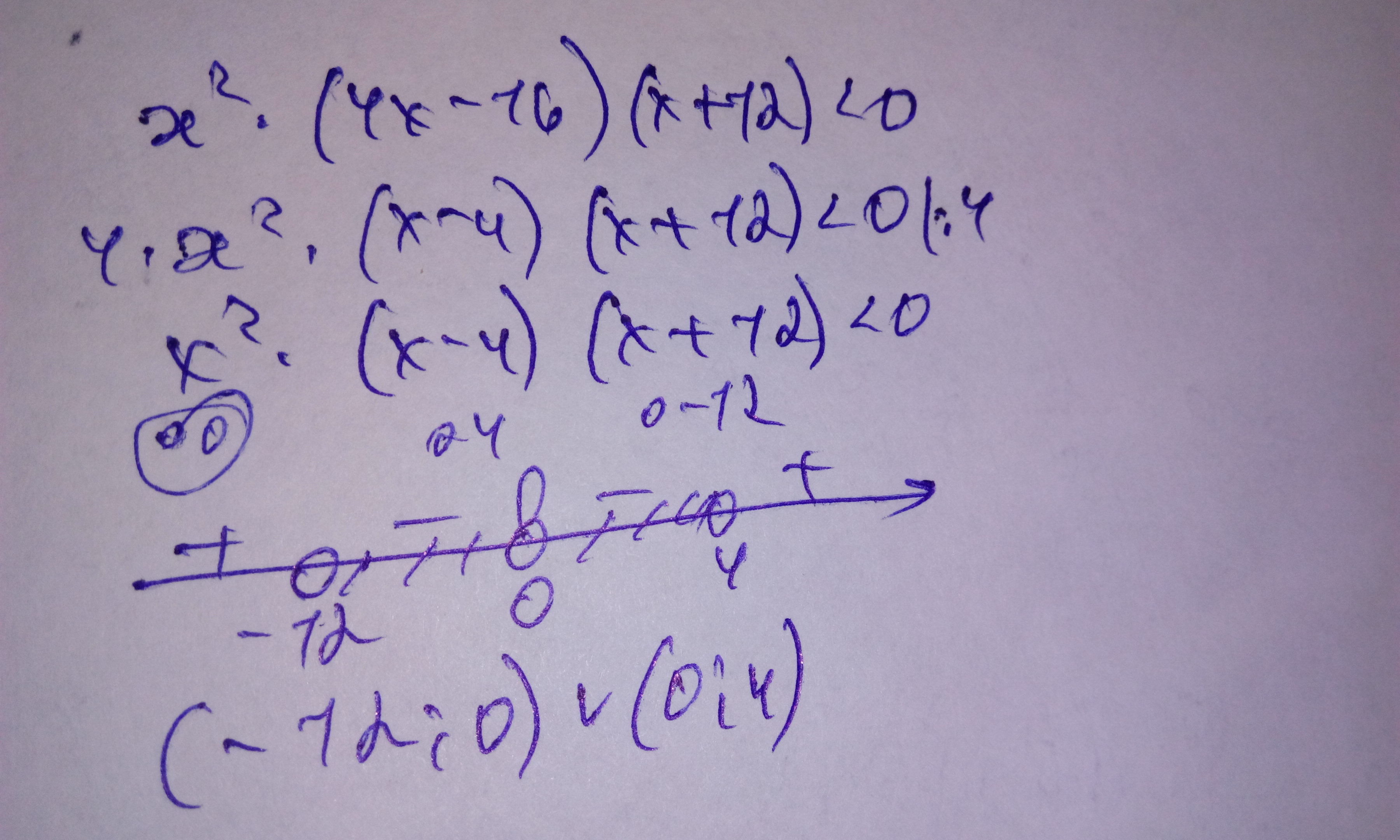
16 0 решите
X2 16 0 решите 140 фотографий
Ремонт двигателя gx
Мегафон модем 4g программа
Синовит это что такое простыми словами
Xc 819
Факторы возникновения языка
Расписание автобусов мытищи перловка
Время работы светодиодных ламп
Shuumatsu no valkyrie 92
Ст ложка соли сколько грамм с горкой
Бабурин вратарь









































































































































