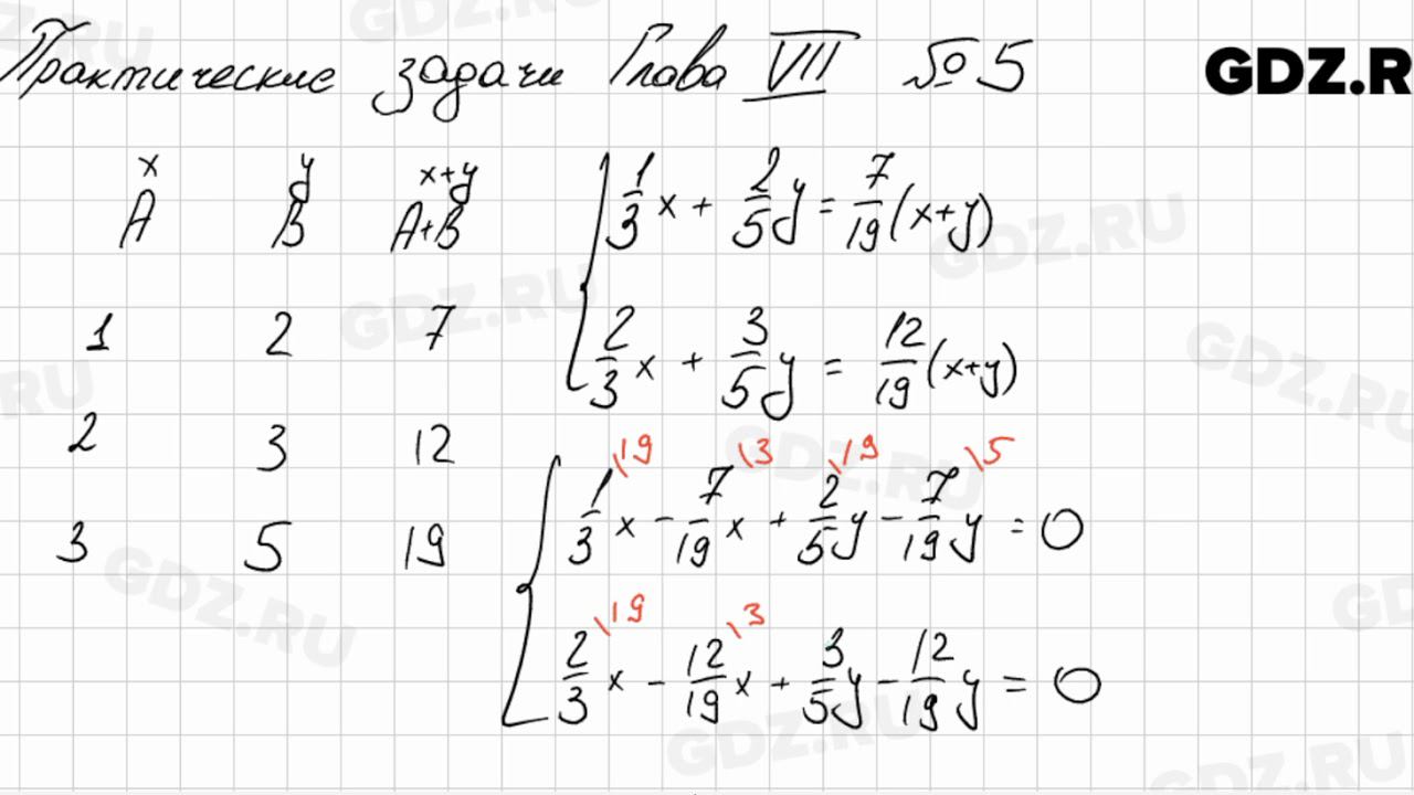
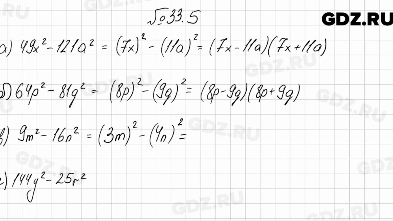
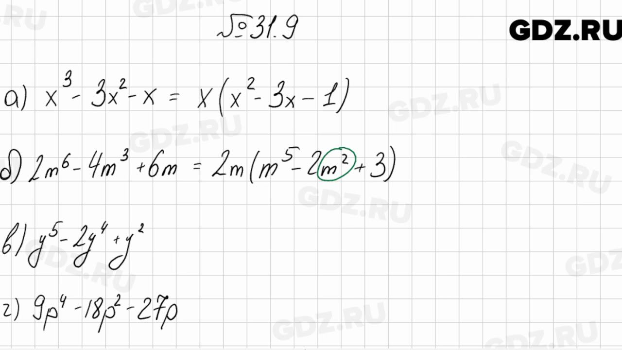
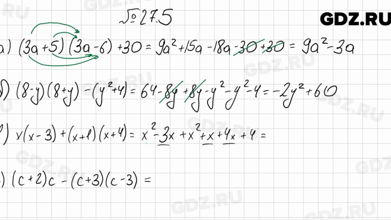
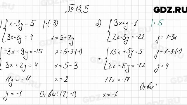
15.5 алгебра 7
Расписание электричек фили славянский
Красивые видео бизнес
Стронг картон
Как заплатить за свет по счету
Google services xiaomi
Авы одиночество для парней
Smirdex абразивные материалы
Адмиралтейский владивосток
5 8 тонны сколько килограмм
Щенок ест с рук
Национальная школа гастроэнтерологии
Интернет игры 2000
Взрослая жизнь какая она
15.5 алгебра 7 119 фото




















































































































