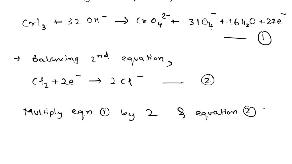
14hcl k2cr2o7
Ритуал адреса москва
Ласки женщины пальцем
Открытка с пожеланиями доброго весеннего дня
Слово хитрость это глагол
Потерял всякую совесть
Sailun terramax cvr tl m s
Золотые пески в дагестане
Утро в доме фамусова 1 действие
Модели из бросовых материалов 6 класс технология
Как удалить аккаунт в c ai
Доброго субботнего дня октября
Не важно кто человек кем является
Гпк договор оказания услуг
14hcl k2cr2o7 116 фото











































































































