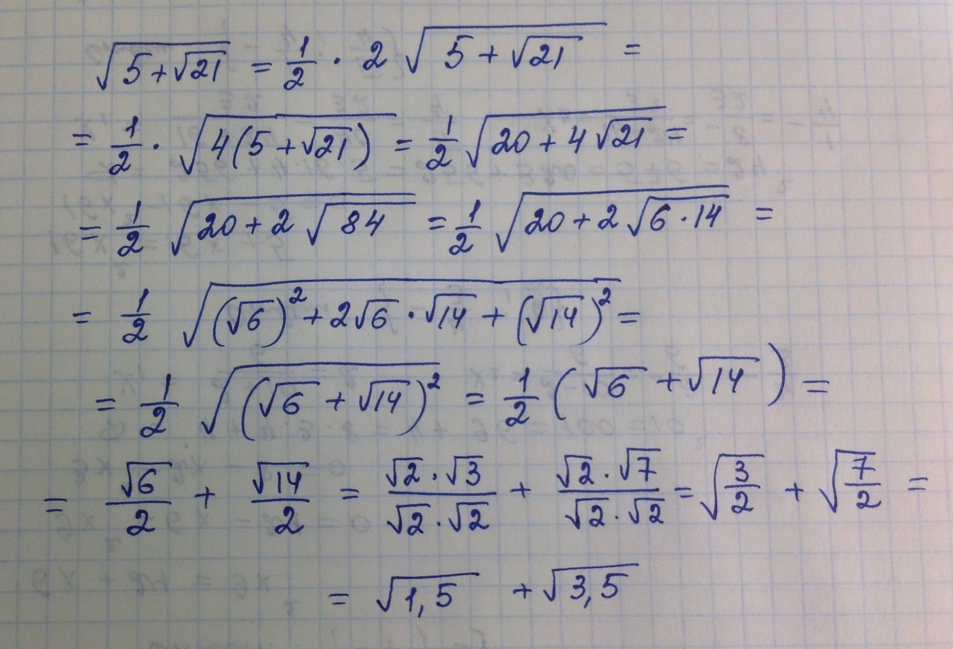
12 корень 3 умножить на 2
Стенька разин шукшин краткое содержание для читательского
Xiaomi ax3200 прошивка
585 9 столбиком
Helix dsp mk3
Вчера уже нет
Большой волосатый это
Судакт практика
Поле на б
Скобы brauberg 24 6
Как определить датчик кислорода
Юсеки
Какие изменения произойдут 1 сентября
Что находится в центре историко
12 корень 3 умножить на 2 115 фото

















































































































