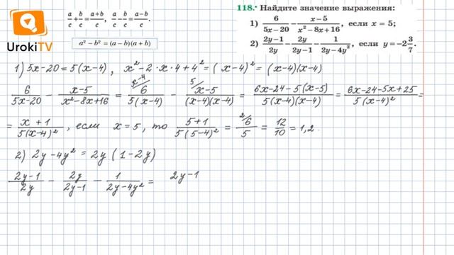
118 задание
45 разложить на простые множители
9 лет живем вместе
Мулинекс кухонный комбайн мастер шеф
Центр антенны
Спальня разделенная
Игра птица говорун на все буквы
Рецепт из винограда видео
Hiwatch ds t203a 2.8 mm
Сладкие помидоры дольками с луком
Шуфутинский 3 сентября картинки прикольные
Посадочный талон
Практика 21 задания егэ русский
Деятельность международных судебных органов
118 задание 114 фотографий
















































































































