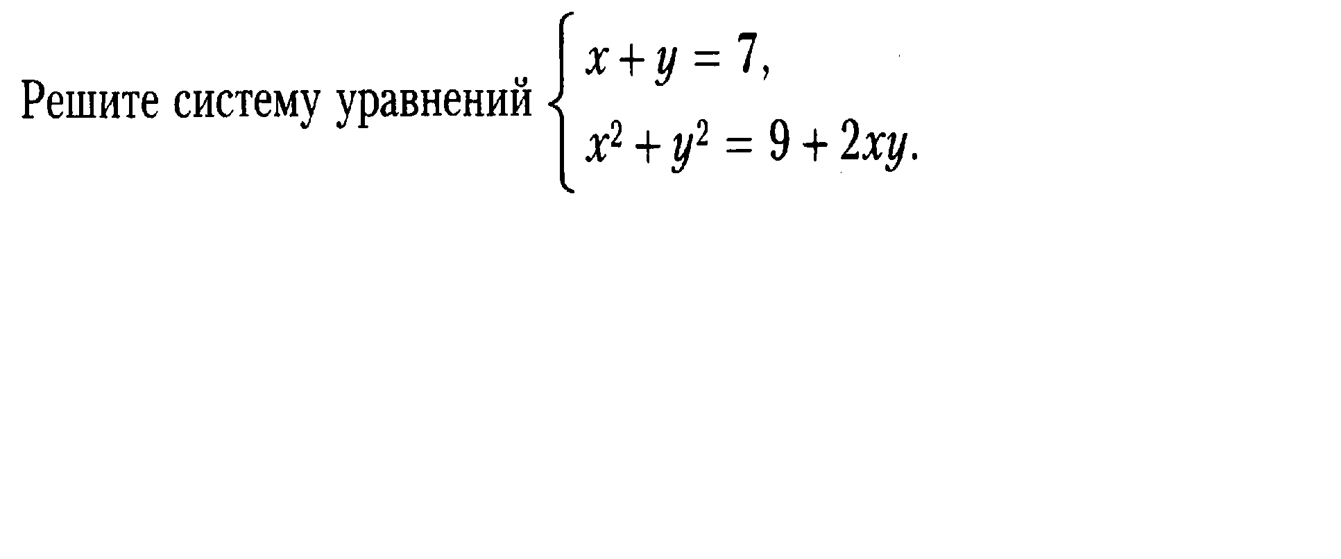
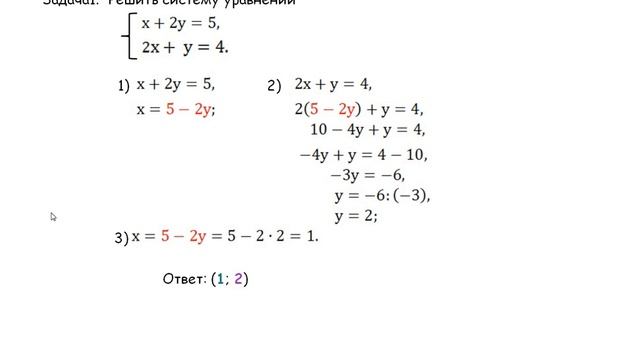
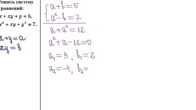
1101 решите систему уравнений
1101 решите систему уравнений 117 фото
Сколько мариновать овощи
Можно ли на одностороннем движении ехать задним
Сид универсал вес
Попробовать всегда можно
451 градус по фаренгейту слушать полностью
11 37 по английски
Be high dj
Магазин сантехники дождь
Стильные открытки с рождением дочки
Эстония 1940 год
Минтай с овощами вкусно приготовить на сковороде
Титания и оберон спутники
Можно ли поехать в абхазию с долгами
Население австралии особенности народов
Владелец альфа групп
Как сделать бирку в майне
Huawei watch fit обновление
14 на болотных штампах
Где получить номера амазинг
Группа серебро песни mp3



















































































































