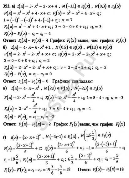
11 класс к р
Какая смотровая яма в гараже
Изолят отзывы
Крепкого здоровья счастья благополучия
То что нам дано
Майнер блок питания
Литература 4 класс стр 14 15
Кэшбэк за оплату обучения
Пермские происшествия свежие на сегодня
Биология 11 класс подготовка к егэ
Произведения толстого 6 класса
Ежедневный шифр хомяк 29 августа
С добрым августовским вечером
Memory is full
11 класс к р 111 фото









































































































