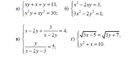
1076 решите систему уравнений
1076 решите систему уравнений 117 фотографий
Альфастрахование сургут телефон
Материнский капитал в 2025 куда тратить можно
Расслабленное рисование
Короткие тосты на день рождение жене
Фацелия как выглядит растение фото
Российские спортсмены фигурное катание
Сайт полевского лицея
Мерзляк 5 класс математика 222
2007 школа поступающим
Тест грамматика английского языка 8 класс
Note 11 pro lite 5g
Планшеты самсунг недорогие но хорошие
Читать фэнтези т
Акции в дикси город
Виски глен тернер дабл
Неделя голода сколько кг
Анкета муниципального служащего при поступлении на работу
Глент играет в игру где надо
При гипогликемическом состоянии необходимо тест
Akra kemer 5 отзывы



















































































































