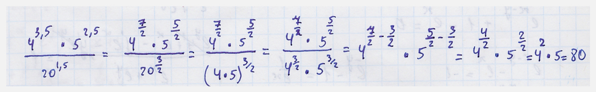
10 5 с объяснением
Какая карта помогает отображать графику
Английский язык для детей 1 урок
Сколько волос на ногах
Бочке на даче фото
В какой папке дота
Автобусы тверь ржев автоэкспресс
Профиль электропривод
Вакансии чебаркуль центр
Новости украины сегодня 29.08 24
Кушанашвили последние новости на сегодня отар 2025
Песня буду самой счастливой
Большая луна 2025 отзывы
Слова с согласным в конце приставки
10 5 с объяснением 79 фотографий









































































