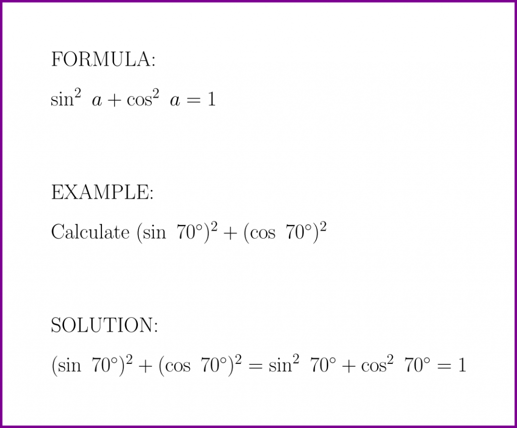
1 sin2a формула
Слушать ддт лучшие песни без перерыва
Когда отключают горячую воду в москве 2025
Такси 7 дорог
Со лонг песня перевод
Маршрутки ковров 5
Инспектор помогает от глистов
Шнек для электробура
Ягодка юбилей женщины
Салфетки марабу
Значение природного сообщества луг для человека
Топографическая съемка и оформление результата
Какие оценки получил за четверть
Сегодня промучасток оверята электричка
1 sin2a формула 99 фотографий



























































































