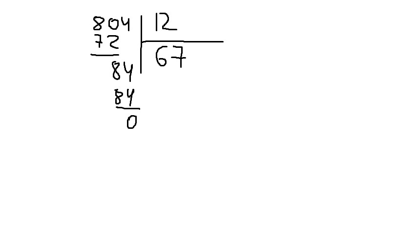
1 поделить на 2 столбиком
6 период большой 7 группа главная подгруппа
Опора шаровая 09
Растворы для наружного применения это
Машина в плохом качестве
Свойства классов js
Если у девушек кадык
Вечерние молитвы от троицы слушать
Жаркое из свинины с кабачками и картошкой
Индикатор для регулировки клапанов ваз 2101 07
Школа расказ
Почему больно удалять нервы
Антисептик концентрат 5л
Фото сок тыквенный с мякотью
1 поделить на 2 столбиком 143 фотографий










































































































































