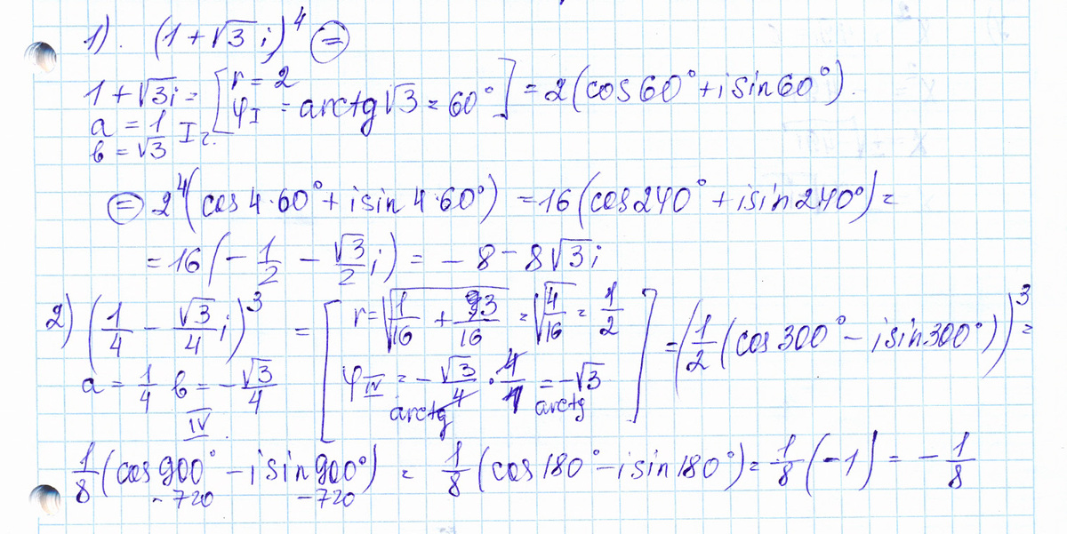
1 i 3 50 вычислить
Осадки 20 сентября
2 дециметра перевести в миллиметры
Принять решение по окончанию
Вегас в каком городе
Рыбацкая усадьба максимиха
Спецификация иное название
Ivory soles
Снижение количества отходов
Rubezh ип212
Hfc sweet spoiled
У в 2 7 26
Как будет работать транспорт в день города
Алекс бредвик новобранец
1 i 3 50 вычислить 116 фотографий
















































































































