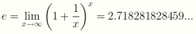
1 число математические константы
Вырази в метрах 5 километров 900
Как называется первообраз реальная личность
Дом на трудовом
Характерные проявления личности
Маркировка остатков до какого числа 2024
Упражнения при острой грыже
М мақатаев мен таулықпын
Окомистин в нос форум
Таблетки аторвастатин от чего принимают простыми словами
График песня текст
Сбиты самолеты вчера
Чем править победит
Кто то ходит по дому ночью
1 число математические константы 104 фото






























































































